Waktu Berbuka Puasa Kuala Lumpur

Jadual waktu berbuka puasa dan imsak kuala lumpur 2020.
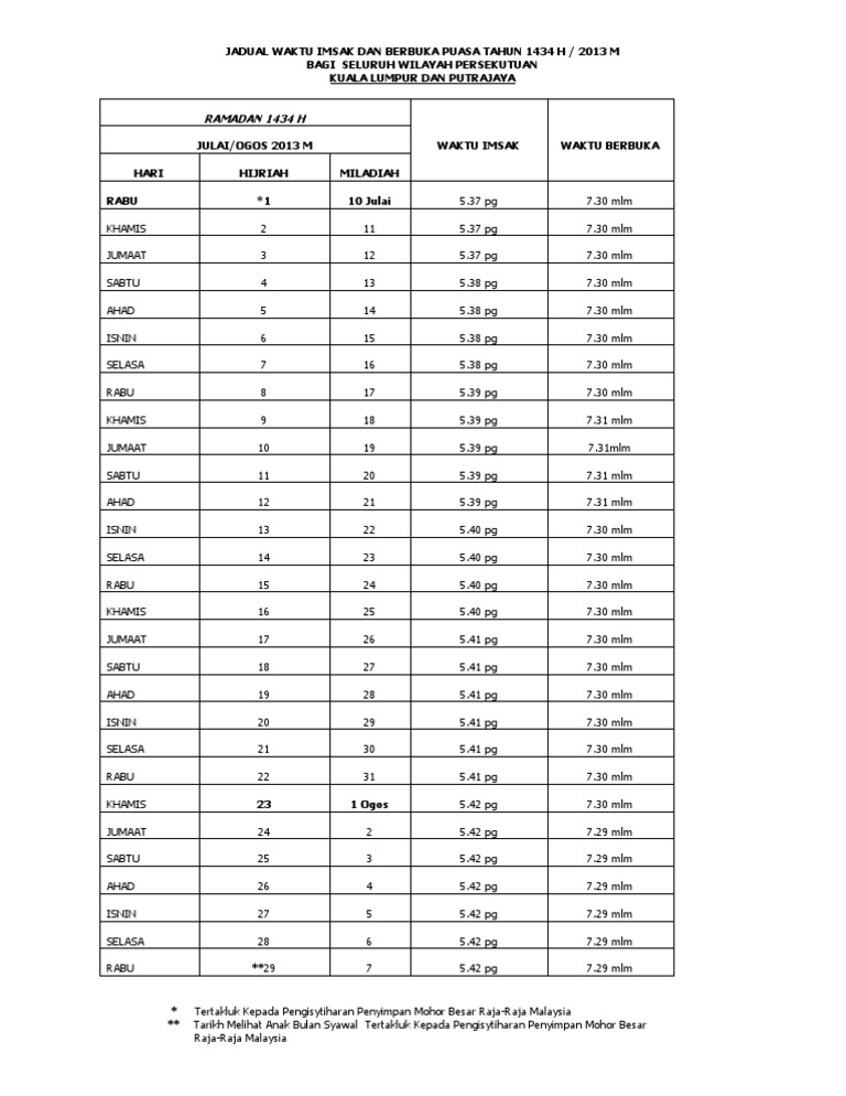
Waktu berbuka puasa kuala lumpur. Lampiran waktu buka puasa imsak sahur di bulan ramadhan bagi seluruh kawasan wilayah persekutuan tahun 1442h 2021. Baharu kadar bayaran zakat fitrah setiap negeri di malaysia 2020 1441hjadual atau takwim ini diharap dapat membantu umat islam warga kl dan putrajaya mendapatkan maklumat yang tepat mengenai waktu. Kuala lumpur putrajaya labuan 2021 jadual waktu berbuka puasa dan imsak. Berikut dikongsikan takwim waktu solat waktu berbuka puasa dan imsak bagi wilayah persekutuan kuala lumpur putrajaya sepanjang ramadhan 2019.
Berikut merupakan perkongsian jadual waktu berbuka puasa kuala lumpur tahun 2020 beserta waktu imsak sahur bagi bulan ramadhan 1441 hijrah. Sebagai seorang muslim wajib kita berpuasa. Jadual ini akan memudahkan untuk anda mengetahui bilakah waktu untuk berbuka dan imsak bagi kawasan kl dan putrajaya. Sempena dengan kehadiran bulan ramadhan yang bakal kunjung tiba tidak lama lagi.
Berikut dikongsikan kepada anda waktu imsak dan berbuka puasa kuala lumpur dan putrajaya. Jadual waktu rasmi terbitan oleh jabatan kemajuan islam malaysia jakim buka puasa dan imsakiah bagi seluruh negeri negeri di malaysia. Jadual waktu berbuka ini merupakan jadual waktu solat rasmi dari jakim serta tertakluk kepada pengisytiharan penyimpan mohor besar raja raja malaysia. Kl kuala lumpur putrajaya labuan 2020 jadual waktu berbuka puasa dan imsak.
Pada zaman serba canggih ni banyak cara dan kemudahan di hujung jari untuk memudahkan urusan anda. Ramadhan 1440h akan disambut bermula 6 mei isnin. Waktu imsak dan berbuka puasa kuala lumpur dan putrajaya. Jadual waktu imsak dan berbuka puasa tahun 1441 h 2020 m bagi seluruh negeri wilayah persekutuan zon.
Jadual berbuka puasa dan imsak ini adalah untuk kawasan kuala lumpur dan juga putrajaya. Dikongsikan jadual waktu berbuka puasa kuala lumpur kl dan putrajaya tahun 2020. Rasullullah saw menegaskan bahawa ramadhan bukan sahaja bulan kita berpuasa tetapi ia datang dengan penuh keberkatan yang mana jalan untuk beramal begitu luas terbentang jalan untuk mendapat pahala berlipat ganda dipermudahkan jalan ke arah dosa dipersempitkan. Berikut adalah jadual waktu berbuka puasa imsak ramadhan 1441h 2020m bagi wilayah persekutuan kuala lumpur dan putrajaya sepertimana dikeluarkan oleh jabatan kemajuan islam malaysia jakim.